Leo 3XRm2 3" Tauchpumpe für Bohrlöcher
Artikelnummer: 3546/LEO 3546/LEO2 3546/LEO3 Variante wählenDetaillierte Produktbeschreibung
Anwendung
- Wasserversorgung aus Bohrlöchern und Tanks
- Für private, kommunale und industrielle Anwendungen
- Für Garten- und Bewässerungszwecke
Pumpe
- Maximale Temperatur der gepumpten Flüssigkeit: 35 ˚C
- Maximale Sandanteil: 0,25 %
- Maximale Eintauchtiefe: 80 m
- Verwendung für Bohrlöcher ab 100 mm
Motor
- Wickelbarer Motor
- Spannung 230V, 50 Hz
- Drehzahl: 2850 U/min
Lieferumfang
- Tauchpumpe
- Schaltkasten
- Kabel
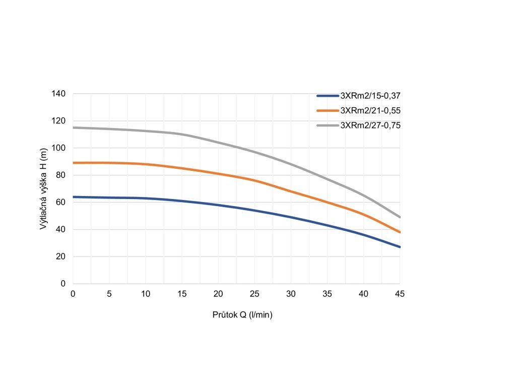
| Maximaler Durchfluss | 45 l/min |
| Maximale Förderhöhe | 64 - 115 m |
| Eingangsspannung | 230 V |
| Nennleistung Motor - P2 | 0,37 - 0,75 kW |
| Nennaufnahmeleistung Motor - P1 | 0,75 - 1,20 kW |
| Druckanschluss | 1 |
| Durchmesser Pumpe | 3 |
| Maximale Eintauchtiefe max. | 150 m |
| Zertifizierung für Trinkwasser | nein |
| Schwimmerschalter | nein |
| Maximaler Strom | 3,50 - 5,80 A |
| Maximale Medientemperatur max. | 35°C |
| Kabellänge | 30 - 40 m |
| Korngröße | 1 mm |
| Schutzart | IP 68 |
| Automatischer thermischer Schutz | ja |
| Trockenlaufschutz | nein |
| Eigener Schalter | ja |
| Drehzahlregelung | nein |
| Kondensator | extern |
| Maximaler Außendurchmesser max. | 73,50 mm |
| Laufradmaterial | Noryl |
| Konstruktion | Kreiselpumpe |
| Rückschlagklappe | ja |
Zusätzliche Parameter
| Kategorie: | Tauchpumpen |
|---|---|
| Je nach Verwendung: | Tauchpumpen |
Diskussion
Seien Sie der Erste, der einen Beitrag über diesen Artikel schreibt.
.png)