Leo LKJ Hauswasserwerk mit Edelstahlbehälter
Artikelnummer: 3582/LEO 3582/LEO2 Variante wählenDetaillierte Produktbeschreibung
Verwendung
- Pumpen von sauberem oder leicht verschmutztem Wasser aus Brunnen und Tanks
- Für Bewässerungssysteme, Umpumpen, Retentionsbecken
- LKJ Hauswasserwerk mit Edelstahlbehälter
Pumpe
- Vorfilter, Schutz gegen Wasseraustritt, Trockenlaufschutz
- LCD-Display
- Maximale Temperatur des Fördermediums: 35 ˚C
- Maximale Saughöhe: 8 m
- Einschaltdruck: 1,5 bar
Motor
- Spannung 230 V, 50 Hz
- Integrierter Wärmeschutz
- Isolationsklasse: F
- Schutzart: IP X4
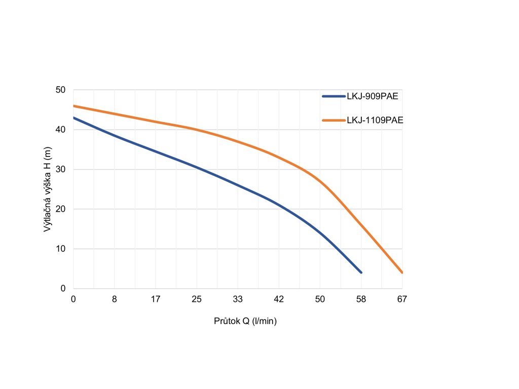
| Maximaler Durchfluss | 60 - 76 l/min |
| Maximale Förderhöhe | 43 - 46 m |
| Eingangsspannung | 230 V |
| Nennleistung Motor - P2 | 0,60 - 0,75 kW |
| Sauganschluss | 1 |
| Nennaufnahmeleistung Motor - P1 | 0,90 - 1,10 kW |
| Druckanschluss | 1 |
| Max. Saughöhe | 8 m |
| Zulassung für Trinkwasser | nein |
| Behältervolumen | 24 l |
| Maximalstrom | 4,50 - 5,50 A |
| Max. Medientemperatur | 35°C |
| Einschaltdruck | 1,4 bar |
| Ausschaltdruck | 2,8 bar |
| Schutzart | X4 IP |
| Automatischer Wärmeschutz | ja |
| Trockenlaufschutz | ja |
| Eigener Schalter | ja |
| Drehzahlregelung | nein |
| Kondensator | integriert |
| Material Laufrad | Noryl |
| Bauart | mit Druckbehälter |
Zusätzliche Parameter
| Kategorie: | Oberflächenpumpen |
|---|---|
| EAN: | Variante wählen |
| Je nach Verwendung: | Oberflächenpumpen, Wasserwerke |
Diskussion
Seien Sie der Erste, der einen Beitrag über diesen Artikel schreibt.
.png)